

Juan Carlos Castillo, Julio Iturra, Gabriel Cortés & Tomás Urzúa
Departament of Sociology, Universidad de Chile
Universität Bremen
07th April, 2026

What have been the regional and national trends over the past two decades in the area of social cohesion in Latin America?
What are the main factors associated with these changes?
Two main approaches:
Combining individual (micro) variables with macro variables (Ecosocial, OCS).
“is a state of affairs concerning both the vertical and the horizontal interactions among members of society as characterized by a set of attitudes and norms that includes trust, a sense of belonging and the willingness to participate and help, as well as their behavioural manifestations” (Chan et al., 2006, p. 290).
Chan, J., To, H.-P., & Chan, E. (2006). Reconsidering Social Cohesion: Developing a Definition and Analytical Framework for Empirical Research. Social Indicators Research, 75(2), 273–302.
Individual factors:
Macrostructural factors:
Figura 1: Evolution of vertical and horizontal cohesion (2004-2023)
Figura 2: Association between GDP per capita (PPP) and horizontal cohesion. Red line represents the association including Canada and United States.
Figura 3: Association between GDP per capita (PPP) and vertical cohesion. Red line represents the association including Canada and United States.
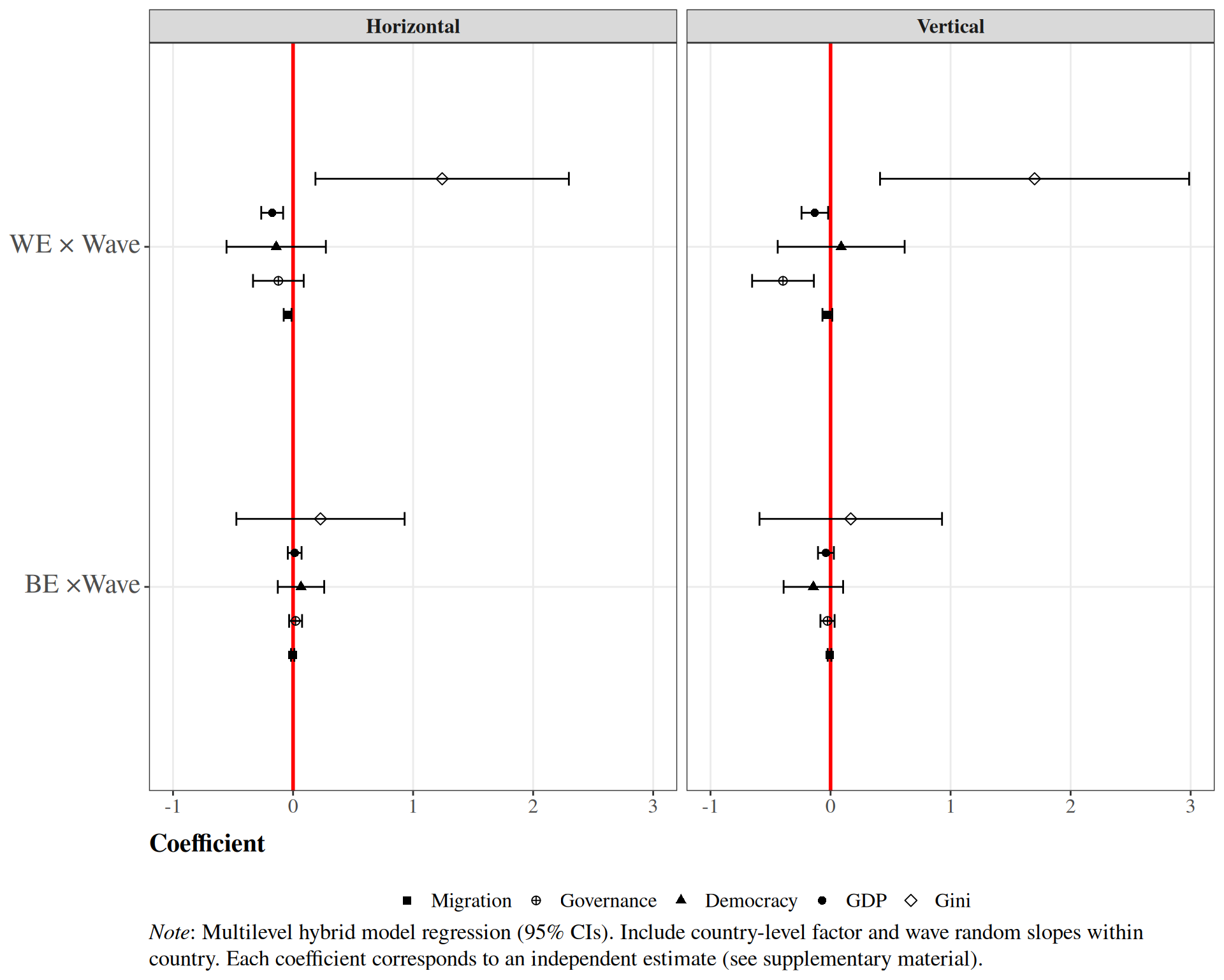
Figura 4: Multilevel regression for individual level factors and social cohesion
| Horizontal | Vertical | |||||
|---|---|---|---|---|---|---|
| Model 1 | Model 2 | Model 3 | Model 4 | Model 5 | Model 6 | |
| Time | -0.086** | -0.094** | -0.105*** | -0.180*** | -0.208*** | -0.214*** |
| (0.031) | (0.031) | (0.030) | (0.040) | (0.038) | (0.038) | |
| Gini (BE) | -1.811 | -1.791 | -1.767 | -3.757* | -3.691* | -3.718* |
| (2.320) | (1.959) | (2.054) | (1.901) | (1.637) | (1.697) | |
| Gini (WE) | -3.401* | -3.538* | -3.503* | -6.648** | -5.916** | -5.876** |
| (1.581) | (1.600) | (1.556) | (2.164) | (2.029) | (2.015) | |
| GDP (BE) | 0.198 | 0.161 | 0.120 | 0.258 | 0.223 | 0.207 |
| (0.176) | (0.189) | (0.229) | (0.149) | (0.165) | (0.194) | |
| GDP (WE) | 0.171 | 0.197 | 0.546 | 0.401 | 0.468 | 0.730* |
| (0.277) | (0.276) | (0.294) | (0.368) | (0.342) | (0.372) | |
| Democracy (BE) | -3.079* | -2.972* | -2.111* | -2.058 | ||
| (1.206) | (1.263) | (1.015) | (1.050) | |||
| Democracy (WE) | -0.830 | -0.631 | -3.792*** | -3.632*** | ||
| (0.599) | (0.586) | (0.762) | (0.762) | |||
| Governace (BE) | 0.995** | 0.973** | 0.756** | 0.744** | ||
| (0.319) | (0.334) | (0.267) | (0.277) | |||
| Governace (WE) | -0.085 | -0.210 | 0.743* | 0.640* | ||
| (0.251) | (0.248) | (0.320) | (0.322) | |||
| Migration (BE) | 0.019 | 0.007 | ||||
| (0.050) | (0.041) | |||||
| Migration (WE) | -0.111** | -0.090 | ||||
| (0.038) | (0.050) | |||||
| AIC | 958631.141 | 958627.080 | 958631.660 | 846342.480 | 846318.283 | 846327.710 |
| BIC | 958815.995 | 958853.013 | 958878.132 | 846527.334 | 846544.215 | 846574.182 |
| Log Likelihood | -479297.571 | -479291.540 | -479291.830 | -423153.240 | -423137.141 | -423139.855 |
| Num. obs. | 213130 | 213130 | 213130 | 213130 | 213130 | 213130 |
| Num. groups: country_wave | 161 | 161 | 161 | 161 | 161 | 161 |
| Num. groups: pais | 22 | 22 | 22 | 22 | 22 | 22 |
| Var: country_wave (Intercept) | 0.091 | 0.090 | 0.085 | 0.178 | 0.151 | 0.149 |
| Var: pais (Intercept) | 0.202 | 0.136 | 0.148 | 0.121 | 0.084 | 0.090 |
| Var: Residual | 5.010 | 5.010 | 5.010 | 2.956 | 2.956 | 2.956 |
| ***p < 0.001; **p < 0.01; *p < 0.05 | ||||||
Interactions