

Juan Carlos Castillo1, Tomás Urzúa1, Andreas Laffert1 & Julio Iturra2
1Department of Sociology, Universidad de Chile
2Bremen International Graduate School of Social Sciences
Universität Bremen
07th April, 2026
Visualizer for Latin America, but not something specifically focused on Chile
ELSOC panel survey in COES
Last year (2025) special funding (since it was the last year of COES) -> apply what we learned from the experience with VISLATAM to ELSOC data
Secondary data from Chilean Longitudinal Social Study (ELSOC)
Panel survey that runs every year from 2016 to 2023, making it the only study of this kind in Chile and Latin America
For the visualization, the analysis includes participants who took part in at least three waves of the study, totaling 3,666 individuals.
Measurement framework for social cohesion in Chile based on the approach proposed by Chan et al. (2006).
The framework is based on two dimensions:
Horizontal: addresses the relationships between individuals and social groups
Vertical: captures the interactions between individuals and social institutions
Differents analytical techniques for to arrive at the final version of the measurement framework.
Sub-dimensions were calculated as average indices to facilitate the interpretation of the results.
All the decisions behind the construction of the framework can be found in this methodological document.
The visualizer was completely created by the team at the Social Cohesion Observatory (OCS).
It was built using code with Quarto and Shiny App.
The visualizer’s source code is open access and can be found in our GitHub repository
Results VISELSOC


Juan Carlos Castillo, Julio Iturra, Gabriel Cortés & Tomás Urzúa
Department of Sociology, Universidad de Chile
Universität Bremen
07th April, 2026

How are the regional and national trends over the past two decades in social cohesion in Latin America?
What are the main factors associated with these changes?
Two main approaches:
Combining individual (micro) variables with macro variables (Ecosocial, OCS).
“is a state of affairs concerning both the vertical and the horizontal interactions among members of society as characterized by a set of attitudes and norms that includes trust, a sense of belonging and the willingness to participate and help, as well as their behavioural manifestations” (Chan et al., 2006, p. 290).
Chan, J., To, H.-P., & Chan, E. (2006). Reconsidering Social Cohesion: Developing a Definition and Analytical Framework for Empirical Research. Social Indicators Research, 75(2), 273–302.
Individual level:
Country level
Some suplements from Latinobarómetro and the World Values Survey
Sample of N = 179,377 individuals across 174 country waves in 25 countries, covering the period from 2004 to 2023.
Horizontal
Vertical
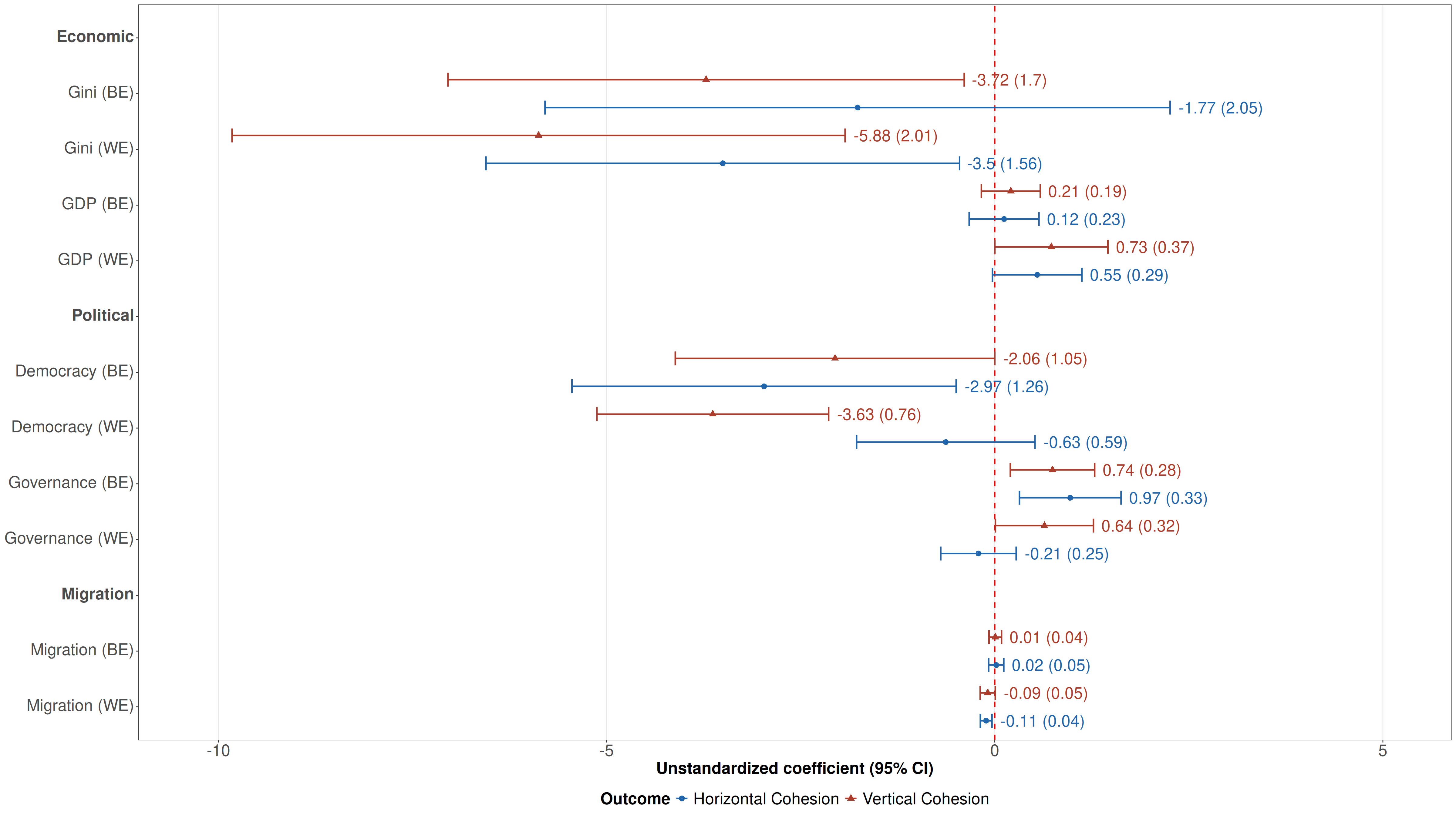
Decrease of social cohesion overall
Inequality is related negatively with social cohesion
Positive effect of governance
Negative electoral democracy?
Negative migration?
Social cohesion over time